Рейтинг научной цитируемости Nature Index публикуется издательским домом Springer Nature с 2014 года. Цель рейтинга — объективно оценить высококачественные научные публикации и международное сотрудничество между университетами, научно-исследовательскими учреждениями, регионами и странами в четырех областях: физике, химии, науках о Земле и окружающей среде, а также науках о здоровье.
Составители рейтинга анализируют статьи, опубликованные за последние 12 месяцев в 145 высококачественных журналах, например, Nature, Science, Cell, The Lancet и Physical Review Letters. Вклад конкретного учреждения или страны оценивают двумя показателями: по количеству статей (Count), где хотя бы один автор представляет конкретное учреждение или страну, и по доле вклада учреждения или страны в статью (Share).
По данным рейтинга научной цитируемости Nature Index с февраля 2024 по январь 2025 года, ИТМО занял второе место среди всех российских университетов. Последние пять лет ИТМО входил в пятерку сильнейших российских организаций, занимающихся научными исследованиями.
Динамика долей участия в научных публикациях российских университетов и научных организаций в 2020–2024 годах. На графике представлены изменения доли (Share) публикационной активности ведущих российских организаций: МГУ, ИТМО, НИЦ Курчатовский институт, СПбГУ и МФТИ. Доля МГУ остается значительно выше остальных, несмотря на тенденцию к снижению, тогда как ИТМО демонстрирует устойчивый рост после спада в 2022 году. Из топ-5 университетов России, фигурирующих в рейтинге Nature Index, ИТМО — единственный университет, который показывает рост вклада в публикации в высокоимпактных журналах Nature Index за последние два года. Схема предоставлена Алексеем Пельтеком
Одной из причин повышения позиции в рейтинге Nature Index стала амбиция ИТМО, описанная в Программе развития университета: стать лидером по передовым исследованиям не только в IT, но и в других областях — например, биотехнологии, химии, робототехнике, физике. Для этого с 2022 года университет запустил группы PI. PI — это руководитель научной группы, который определяет направление исследований, формирует команду и управляет ею, а также привлекает инвестиции. Благодаря грантовой и инфраструктурной поддержке у PI есть возможность развивать собственную лабораторию в ИТМО.
Еще одной мерой поддержки передовой университетской науки стал запуск проектов фронтирных лабораторий. Их цель — достигать прорывных результатов и фундаментальных открытий на переднем крае науки и публиковать научные статьи в высококачественных журналах, индексируемых в том числе Nature Index.
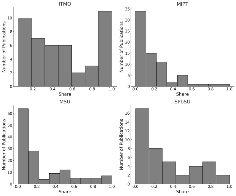
Распределение долей участия в публикациях для университетов ИТМО, МФТИ, МГУ и СПбГУ. Гистограммы отражают количество публикаций в зависимости от значения доли участия авторов, представляющих каждый из университетов. ИТМО имеет значительное количество публикаций с высокой долей (близкой к 1), в то время как МФТИ, МГУ и СПбГУ характеризуются большим числом публикаций с низкими значениями доли. Это означает, что коллективы в ИТМО способны достигать прорывных научных результатов в рамках лабораторий непосредственно внутри Университета. Схема предоставлена Алексеем Пельтеком
«Точечная поддержка и фокусировка на прорывных исследованиях дала свои результаты. Например, большую часть высокоимпактных статей, индексированных в Nature Index, публиковали коллективы PI и фронтирных лабораторий. Также вырос показатель вклада университета в исследования. Он доказывает, что ИТМО обладает всеми ресурсами и возможностями, чтобы самостоятельно проводить передовые исследования в разных областях наук. На момент формирования рейтинга в 2024 году в ИТМО реализуется 12 проектов фронтирных лабораторий. С конца прошлого года в рамках этих проектов мы поддерживаем фронтирные лаборатории с фокусировкой на глобальные передовые исследования, а также с фокусировкой на использовании ИИ в физике, химии, биологии и других науках. Мы демонстрируем, что ИТМО — это технологическая корпорация, у которой есть амбиции и экспертиза не только в области IT, но и других областях — биотехнологии, химии, робототехнике, физике», — отметил научный сотрудник физического факультета ИТМО Алексей Пельтек.
